- 第一組
- 第四組
- 第五組
- 第六組
- 第七組
- 第十四組
- 第十八組
-
Exercises 26.1-7
Suppose that, in addition to edge capacities, a flow network has vertex capacities. That is each vertex v has a limit l(v) on how much flow can pass through v. Show how to transform a flow network G = (V, E) with vertex capacities into an equivalent flow network G'= (V', E') without vertex capacities, such that a maximum flow in G' has the same value as a maximum flow in G. How many vertices and edges does G' have? -
Exercises 26.2-3
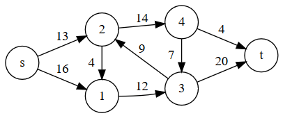
Show the execution of the Edmonds-Karp algorithm on the flow network of the figure below. Treat s as source and t as sink.
-
Exercises 26.2-11
The edge connectivity of an undirected graph is the minimum number k of edges that must be removed to disconnect the graph. For example, the edge connectivity of a tree is 1, and the edge connectivity of a cyclic chain of vertices is 2. Show how to determined the edge connectivity of an undirected graph G = (V, E) by running a maximum-flow algorithm on at most |V| flow networks, each having O(V) vertices and O(E) edges. -
Exercises 26.2-13
Suppose that you wish to find, among all minimum cuts in a flow network G with integral capacities, one that contains the smallest number of edges. Show how to modify the capacities of G to create a new flow network G’ in which any minimum cut in G’ is a minimum cut with the smallest number of edges in G. -
Exercise 26.3-4
A perfect matching is a matching in which every vertex is matched. Let G = (V, E) be an undirected bipartite graph with vertex partition V = L ∪ R, where |L| = |R|. For any X ⊆ V, define the neighborhood of X as
N(X) = { y ∈ V : (x, y) ∈ E for some x ∈ X },
that is, the set of vertices adjacent to some member of X. Prove Hall's theorem: there exists a perfect matching in G if and only if |A| ≤ |N(A)| for every subset A ⊆ L. -
There are two extended ways used to find the augmenting path that we have mentioned in class (unit10-演算法.pdf p14), please design an efficient algorithm with the argument of second method to find the augmenting path. Argue that your algorithm is correct and also analyze the time-complexity.
-
The vertex connectivity of an undirected graph (other than a complete graph) is the minimum number k of vertices that must be removed to disconnect the graph. When we remove a vertex, we must also remove the edges incident to it. For example, the vertex connectivity of a tree is 1, and the vertex connectivity of a cyclic chain of vertices is 2. Show how to determine the vertex connectivity of an undirected graph G = (V, E) by running a maximum-flow algorithm on at most |V| flow networks, each having O(V) vertices and O(E) edges.
